Entre las propiedades de la suma y resta están:
Propiedad interna.- según la cual al sumar dos números racionales, el resultado siempre será otro número racional, aunque este resultado puede ser reducido a su mínima expresión si el caso lo necesitara.
Propiedad asociativa.- se dice que si se agrupa los diferentes sumandos racionales, el resultado no cambia y seguirá siendo un número racional. Veamos:
Propiedad conmutativa.- donde en la operación, si el orden de los sumando varía, el resultado no cambia, de esta manera:
Elemento neutro.- el elemento neutro, es una cifra nula la cual si es sumada a cualquier número racional, la respuesta será el mismo número racional.
Inverso aditivo o elemento opuesto.- es la propiedad de números racionales según la cual, existe un elemento negativo que anula la existencia del otro. Es decir que al sumarlos, se obtiene como resultado el cero.

Por otro lado, existen también las propiedades de los números racionales por parte de la multiplicación y la división, y estas son:
Propiedad interna.- en razón de que al multiplicar números racionales, el resultado también es un número racional:

Esta además aplica con la división:
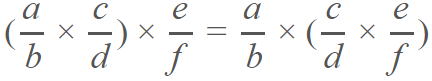
Propiedad asociativa.- donde al agrupar diferentes factores la forma de la agrupación, no altera el producto.
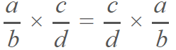
Propiedad conmutativa.- aquí se aplica la famosa frase, el orden de los factores no altera el producto, entre los números racionales también funciona:
Propiedad distributiva.- al combinar sumas y multiplicaciones, el resultado es igual a la suma de los factores multiplicado por cada uno de los sumandos, veamos el ejemplo:
Elemento neutro.- en la multiplicación y la división de números racionales, existe un elemento neutro que es el número uno, cuyo producto o cociente con otro número racional, dará como resultado el mismo número.
